Este año ya estamos trabajando la unidad didáctica "Reino Plantas" y repetimos este sencillo experimento para detectar la presencia o no de almidón (resultado de la fotosíntesis), incorporando nuevas sustancias.
¿Qué queremos hacer?
Reconocer la presencia de un glúcido el almidón.
Material
- Arroz en granos - Sémola de arroz
- Patata - Papas (patatas fritas)
- Harina de maíz (maizena) - Harina de trigo
- Miga de pan - Galletas
- Garbanzos - Harina de almortas
- Tapioca - Pipas de girasol
- Manzana - Plátano
- Harina de gijas
- Pasta: macarrones, espaguetti
- Maíz tostado (kikos) o granos de maíz.
- Opcional; jamón de york, pollo, chopped, etc.
- Tintura de yodo (betadine o lugol)
- Tubos de ensayo
- Agua
- Varilla
- Mortero
Procedimiento
Introducimos en cada tubo de ensayo una pequeña cantidad de las distintas sustancias (por separado), añadimos un poco de agua y los agitamos. Después vertemos una gota de betadine y volvemos a agitar. Observamos lo que sucede.
Algunas sustancias requiere que las trituremos un poco con la varilla o con el mortero antes de añadir betadine, como por ejemplo el pedazo de patata, los granos de maíz, las pipas, las galletas, los macarrones. Con las harinas y sémolas no es necesario basta con agitar los tubos.
Podemos ampliar la experiencia con sustancias de origen animal: chopped, jamón de york, pollo procediendo de la misma forma.
¿Qué sucede?
El tubo que contenía un pedazo de patata se vuelve azulada.
El tubo con arroz y agua se vuelve azul
El tubo con granos de maíz vira a azul
El tubo que contenía la harina de maíz, harina de trigo, tapioca, ... con agua se vuelve azul.
La aparición de color azul indica la presencia de almidón
El trozo de pollo no vira a azul, pero alguno de los tubos con sustancias de origen animal también ha virado azul (chopped, jamón york...), cómo es posible
Explicación
El almidón reacciona con el lugol o betadine y da un color azulado
.
.
El pollo, el jamón de york no deberían dar azul, si da azul el chopped o el jamón de york es porque es de baja calidad y nos venden almidón (origen vegetal) como carne (origen animal) (nos dan gato por liebre).
EL ALMIDÓN
EL ALMIDÓN
El almidón es la sustancia con la que las plantas almacenan su alimento en raíces (yuca), tubérculos (patata), frutas y semillas (cereales). Es una importante reserva para las plantas
El almidón se diferencia de los demás hidratos de carbono o glúcidos presentes en la naturaleza en que se presenta como un conjunto de gránulos o partículas. Estos gránulos son relativamente densos e insolubles en agua fría, aunque pueden dar lugar a suspensiones cuando se dispersan en el agua. Suspensiones que pueden variar en sus propiedades en función de su origen.
El almidón como sustancia química
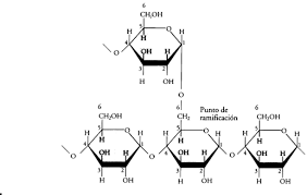
Desde el punto de vista químico el almidón es un polisacárido, el resultado de unir moléculas de glucosa formando largas cadenas, aunque pueden aparecer otros constituyentes en cantidades mínimas.
El almidón es una sustancia que se obtiene exclusivamente de los vegetales que lo sintetizan a partir del dióxido de carbono que toman de la atmósfera y del agua que toman del suelo. En el proceso se absorbe la energía del sol y se almacena en forma de glucosa y uniones entre estas moléculas para formar las largas cadenas del almidón, que pueden llegar a tener hasta 2000 o 3000 unidades de glucosa
El almidón está realmente formado por una mezcla de dos sustancias, amilosa y amilopectina, que sólo difieren en su estructura: la forma en la que se unen las unidades de glucosa entre si para formar las cadenas. Pero esto es determinante para sus propiedades. Así, la amilosa es soluble en agua y más fácilmente hidrolizable que la amilopectina (es más fácil romper su cadena para liberar las moléculas de glucosa)(ver experimento galletas saladas, dulces).
En realidad, la estructura del almidón es muy parecida a la de la celulosa, otro polisacárido que producen las plantas. Pero mientras el almidón es parte del alimento de muchos animales y se descompone fácilmente por acción de las enzimas digestivas, la celulosa es parte del tejido de sostén de las plantas y muy difícil de digerir, algo que la mayoría de los animales aprenden rápidamente.
En los animales, el equivalente al almidón, como sustancia de reserva energética, es otra sustancia de estructura parecida que recibe el nombre de glucógeno.
El almidón se puede identificar fácilmente gracias a que la amilosa en presencia de yodo forma un compuesto azul estable a bajas temperaturas.
La utilidad del almidón
El almidón es importante porque forma parte de nuestra dieta. Se encuentra en las patatas, el arroz, los cereales, las frutas, etc. En una dieta sana, la mayor parte de la energía la conseguimos a partir del almidón y las unidades de glucosa en que se hidroliza.
El almidón también es muy utilizado en la industria alimentaria como aditivo para algunos alimentos. Uno más de los muchos utilizados. Tiene múltiples funciones entre las que cabe destacar: adhesivo, ligante, enturbiante, formador de películas, estabilizante de espumas, conservante para el pan, gelificante, aglutinante, etc. El problema surge porque muchas veces no se nos informa de su uso. Así, por ejemplo, se utiliza en la fabricación de embutidos y fiambres de baja calidad para dar consistencia al producto. (ver experimento detectar almidón en fiambres).
Antiguamente, el almidón se utilizaba para "almidonar" la ropa. Cuando se lavaba la ropa se le daba un baño en una disolución de almidón para conseguir que después del planchado quedara tersa o con apresto y evitar que se arrugara, por ejemplo sábanas y camisas. También se utilizaba en mayor concentración, incluso para conseguir que la ropa quedara tiesa, como por ejemplo, los "can-can" que llevaban las mujeres debajo de las faldas para dar volumen.
Hoy en día el almidón tiene otras muchas aplicaciones. Por ejemplo, es un excelente agente antiadherente en múltiples usos. Pero también puede utilizarse para todo lo contrario: como adhesivo. Una utilización muy interesante del almidón es la preparación de embalajes de espuma, una alternativa biodegradable a los envases de poliestireno.


